BusphotoBUSPHOTO

Picture Statistics

450 KB


Picture ID:383649
File Size:450 KB
Author:Krivich Ilya
Publication Date:20.05.2021 17:08 EET
Days in Database:1717
Unique views:271
Comments:0

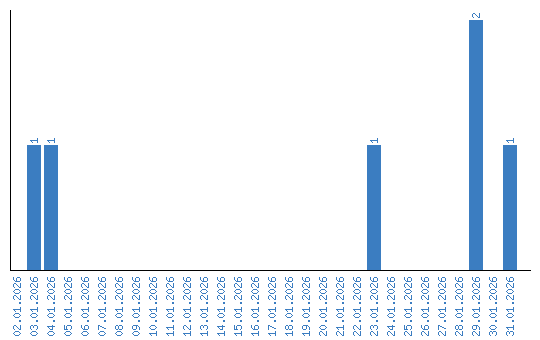
Viewing statistics by date