BusphotoBUSPHOTO

Picture Statistics

276 KB


Picture ID:384016
File Size:276 KB
Author:olegp
Publication Date:25.05.2021 08:54 EET
Days in Database:1742
Unique views:293
Comments:0

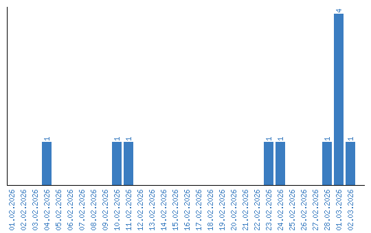
Viewing statistics by date