BusphotoBUSPHOTO

Picture Statistics

446 KB


Picture ID:385106
File Size:446 KB
Author:IKS
Publication Date:03.06.2021 19:21 EET
Days in Database:1666
Unique views:494
Comments:0

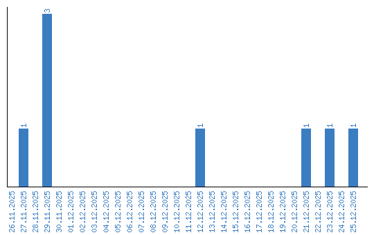
Viewing statistics by date