BusphotoBUSPHOTO

Picture Statistics

276 KB


Picture ID:38596
File Size:276 KB
Author:Zigzag Makryg
Publication Date:23.05.2012 23:10 EET
Days in Database:5025
Unique views:401
Comments:3

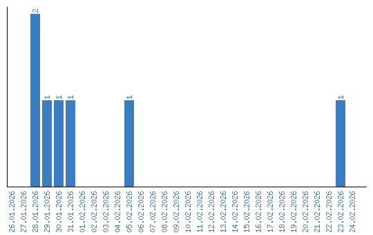
Viewing statistics by date