BusphotoBUSPHOTO

Picture Statistics

746 KB


Picture ID:386652
File Size:746 KB
Autorul:KVG 0215
Publication Date:15.06.2021 19:44 EET
Days in Database:1704
Unique views:393
Comments:0

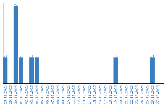
Viewing statistics by date