BusphotoBUSPHOTO

Picture Statistics

316 KB


Picture ID:38932
File Size:316 KB
Author:Максим
Publication Date:27.05.2012 01:00 EET
Days in Database:4960
Unique views:179
Comments:0

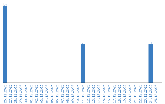
Viewing statistics by date