BusphotoBUSPHOTO

Picture Statistics

381 KB


Picture ID:392060
File Size:381 KB
Author:Kimmi
Publication Date:24.07.2021 23:18 EET
Days in Database:1624
Unique views:198
Comments:0

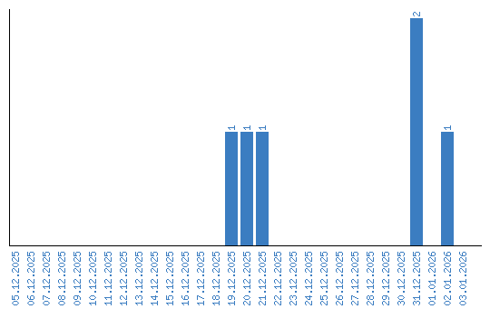
Viewing statistics by date