BusphotoBUSPHOTO

Picture Statistics

475 KB


Picture ID:392648
File Size:475 KB
Author:Valius Kedainietis
Publication Date:29.07.2021 02:25 EET
Days in Database:1672
Unique views:404
Comments:0

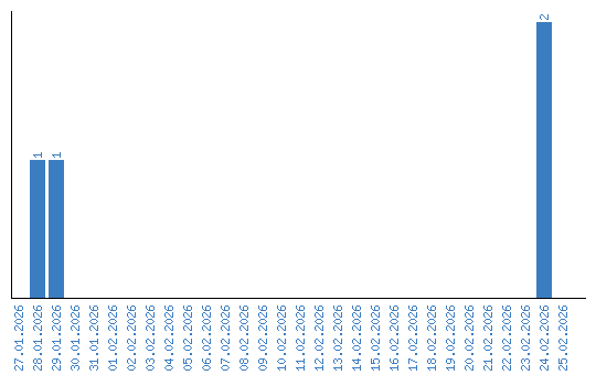
Viewing statistics by date