BusphotoBUSPHOTO

Estatística da Foto

334 KB


ID da Foto:394683
Tamanho Completo:334 KB
Autor:Jakub Gulyás
Data de Publicação:11.08.2021 21:13 EET
Dias na Base de Dados:1597
Exibições Únicas:409
Comentários:0

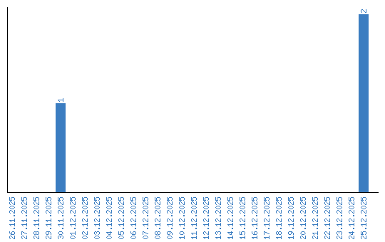
Visualização de estatísticas por data