BusphotoBUSPHOTO

Estatística da Foto

440 KB


ID da Foto:394981
Tamanho Completo:440 KB
Autor:Światosław Neuhauz
Data de Publicação:14.08.2021 15:27 EET
Dias na Base de Dados:1638
Exibições Únicas:277
Comentários:0

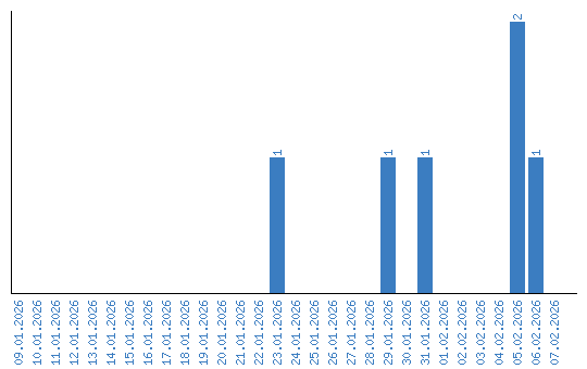
Visualização de estatísticas por data