BusphotoBUSPHOTO

Picture Statistics

0 KB


Picture ID:395160
File Size:0 KB
Author:BSVG 0410
Publication Date:15.08.2021 12:53 EET
Days in Database:1651
Unique views:478
Comments:0

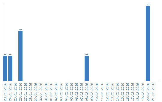
Viewing statistics by date