BusphotoBUSPHOTO

Nuotraukos informacija

442 Kb


Nuotraukos identifikatorius:395602
Bylos dydis:442 Kb
Autorius:Kimmi
Publikuota:18.08.2021 13:52 EET
Yra tinklapyje dienų:1590
Unikalių peržiūrų:75
Komentarų:0

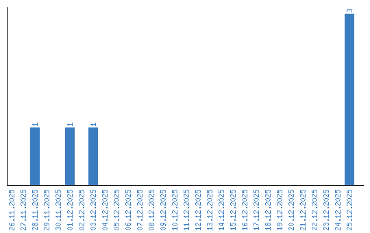
Peržiūrų dinamika pagal dienas