BusphotoBUSPHOTO

Picture Statistics

592 KB


Picture ID:397171
File Size:592 KB
Author:Zigzag Makryg
Publication Date:27.08.2021 21:07 EET
Days in Database:1599
Unique views:239
Comments:0

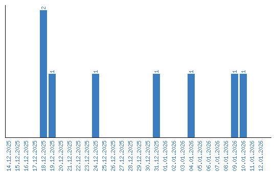
Viewing statistics by date