BusphotoBUSPHOTO

Picture Statistics

478 KB


Picture ID:397379
File Size:478 KB
Author:Valius Kedainietis
Publication Date:29.08.2021 10:55 EET
Days in Database:1580
Unique views:244
Comments:0

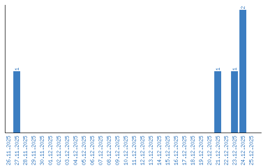
Viewing statistics by date