BussfotoBUSSFOTO

Bildstatistik

577 KB


Bild ID:407639
Filstorlek:577 KB
Författare:Flying Dutchman
Publiceringsdatum:12.10.2021 20:44 EET
Dagar i databasen:1535
Unika visningar:443
kommentarer:0

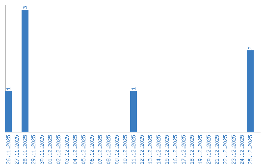
Visar statistik efter datum