BusphotoBUSPHOTO

Picture Statistics

1350 KB


Picture ID:408246
File Size:1350 KB
Author:Flying Dutchman
Publication Date:17.10.2021 22:47 EET
Days in Database:1530
Unique views:306
Comments:0

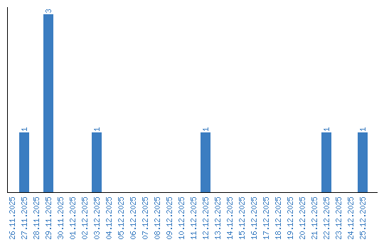
Viewing statistics by date