BusphotoBUSPHOTO

Nuotraukos informacija

410 Kb


Nuotraukos identifikatorius:411155
Bylos dydis:410 Kb
Autorius:Metropolitan456
Publikuota:14.11.2021 22:31 EET
Yra tinklapyje dienų:1564
Unikalių peržiūrų:254
Komentarų:0

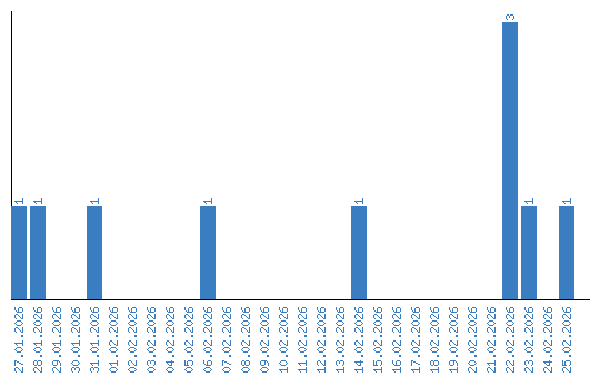
Peržiūrų dinamika pagal dienas