BusphotoBUSPHOTO

Iнфармацыя аб малюнку

274 КБ


Ідэнтыфікатар малюнка:41221
Памер файла:274 КБ
Аўтар:Jeka from Vitebsk
Апублікавана:14.06.2012 21:29 EET
Знаходзіцца на сайце, дзён:4997
Унікальных праглядаў:575
Каментароў:0

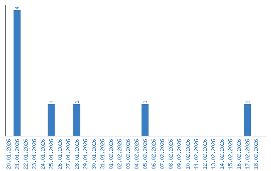
Дынаміка праглядаў па датах