BusphotoBUSPHOTO

Picture Statistics

493 KB


Picture ID:416777
File Size:493 KB
Author:Exile3457
Publication Date:28.12.2021 21:52 EET
Days in Database:1494
Unique views:213
Comments:0

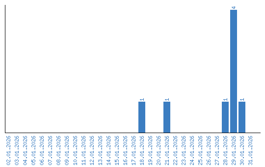
Viewing statistics by date