BusphotoBUSPHOTO

Štatistika obrázku

668 kB


Identifikátor obrázku:419408
Veľkosť súboru:668 kB
Autor:Dutchnorthernbusfotos
Zverejnené:14.01.2022 10:09 EET
Nachádza sa na stránkach (dní):1479
Jednotlivých zhliadnutí:324
Komentárov:0

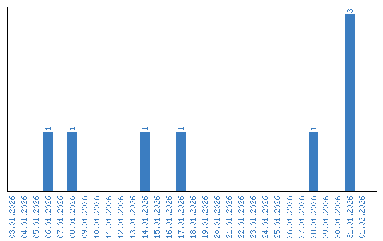
Zobrazenia po jednotlivých dňoch