BusphotoBUSPHOTO

Picture Statistics

462 KB


Picture ID:419627
File Size:462 KB
Author:ToBen
Publication Date:15.01.2022 20:46 EET
Days in Database:1475
Unique views:93
Comments:0

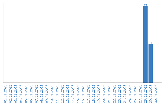
Viewing statistics by date