BusphotoBUSPHOTO

Picture Statistics

215 KB


Picture ID:420262
File Size:215 KB
Fotografato da:ToBen
Publication Date:18.01.2022 19:57 EET
Days in Database:1482
Unique views:225
Comments:0

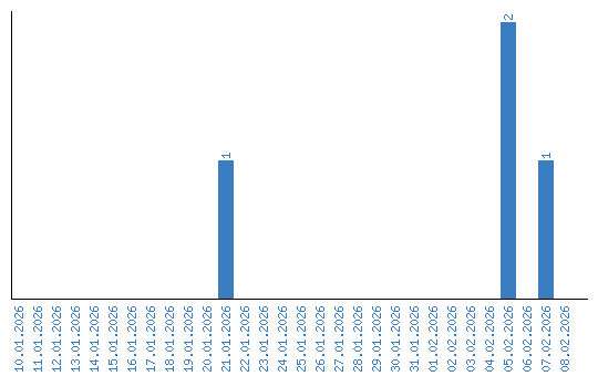
Viewing statistics by date