BusphotoBUSPHOTO

Picture Statistics

498 KB


Picture ID:424654
File Size:498 KB
Author:krajewski
Publication Date:08.02.2022 23:13 EET
Days in Database:1451
Unique views:220
Comments:0

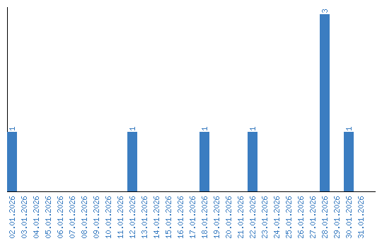
Viewing statistics by date