BusphotoBUSPHOTO

Picture Statistics

200 KB


Picture ID:425287
File Size:200 KB
Author:olegp
Publication Date:12.02.2022 20:15 EET
Days in Database:1412
Unique views:124
Comments:0

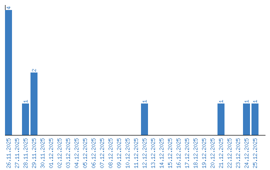
Viewing statistics by date