BusphotoBUSPHOTO

Picture Statistics

246 KB


Picture ID:42640
File Size:246 KB
Author:olegp
Publication Date:25.06.2012 20:26 EET
Days in Database:4995
Unique views:273
Comments:3

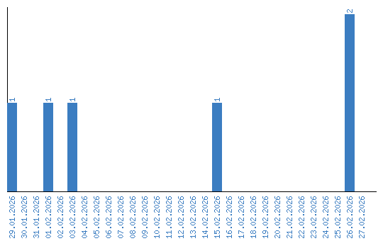
Viewing statistics by date