BusphotoBUSPHOTO

Picture Statistics

217 KB


Picture ID:426935
File Size:217 KB
Fotografato da:hotimsk
Publication Date:21.02.2022 20:27 EET
Days in Database:1461
Unique views:160
Comments:0

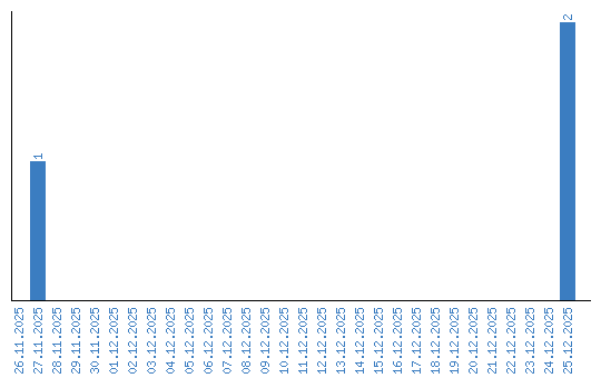
Viewing statistics by date