BusphotoBUSPHOTO

Picture Statistics

632 KB


Picture ID:427454
File Size:632 KB
Author:Latvia2007
Publication Date:24.02.2022 13:34 EET
Days in Database:1436
Unique views:205
Comments:0

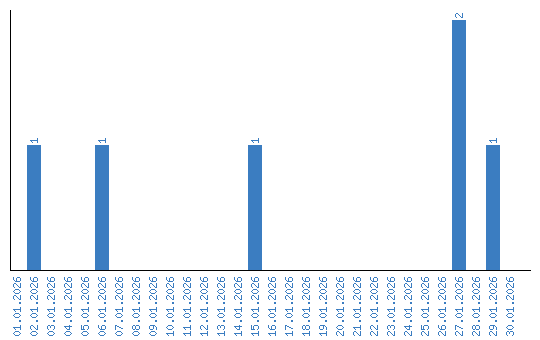
Viewing statistics by date