BusphotoBUSPHOTO

Fotóstatisztika

594 KB


Fotó azonosítószáma:429752
Fájlméret:594 KB
Szerző:v_gaidamak
Publikálás dátuma:08.03.2022 21:12 EET
Adatbázisban eltöltött napok:1424
Különleges megtekintések:224
Hozzászólások:0

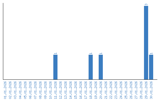
Megtekintési statisztika dátum szerint