BusphotoBUSPHOTO

Picture Statistics

565 KB


Picture ID:431105
File Size:565 KB
Author:Antonio Mitkov
Publication Date:16.03.2022 18:43 EET
Days in Database:1380
Unique views:251
Comments:0

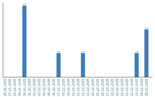
Viewing statistics by date