BusphotoBUSPHOTO

Picture Statistics

449 KB


Picture ID:431184
File Size:449 KB
Fotografato da:Bussmicke
Publication Date:16.03.2022 21:31 EET
Days in Database:1417
Unique views:167
Comments:0

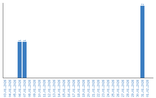
Viewing statistics by date