BusphotoBUSPHOTO

Picture Statistics

734 KB


Picture ID:432811
File Size:734 KB
Author:Block
Publication Date:24.03.2022 23:52 EET
Days in Database:1421
Unique views:277
Comments:0

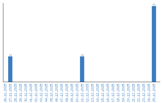
Viewing statistics by date