BusphotoBUSPHOTO

Picture Statistics

529 KB


Picture ID:435014
File Size:529 KB
Author:Bussmicke
Publication Date:02.04.2022 20:04 EET
Days in Database:1380
Unique views:218
Comments:0

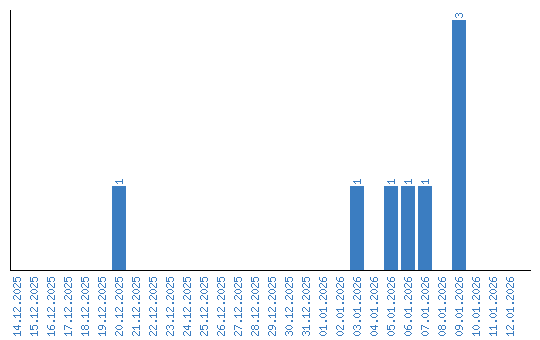
Viewing statistics by date