BusphotoBUSPHOTO

Picture Statistics

839 KB


Picture ID:435066
File Size:839 KB
Yazar:Alex_4
Publication Date:02.04.2022 23:43 EET
Days in Database:1363
Unique views:372
Comments:0

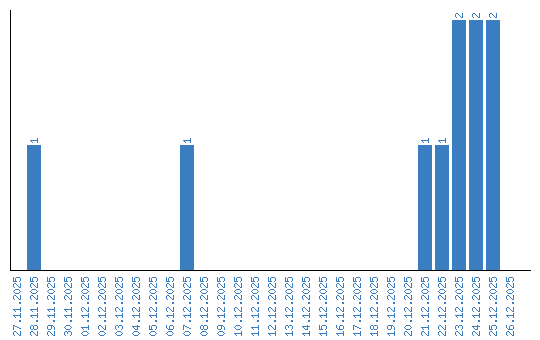
Viewing statistics by date