BusphotoBUSPHOTO

Picture Statistics

724 KB


Picture ID:435917
File Size:724 KB
Author:listenhenne
Publication Date:05.04.2022 21:58 EET
Days in Database:1378
Unique views:363
Comments:0

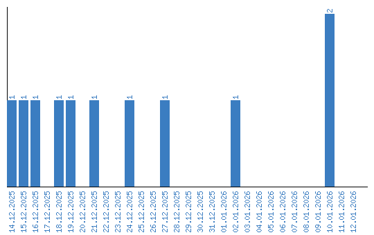
Viewing statistics by date