BusphotoBUSPHOTO

Iнфармацыя аб малюнку

313 КБ


Ідэнтыфікатар малюнка:436444
Памер файла:313 КБ
Аўтар:KievskiyMA3
Апублікавана:07.04.2022 22:22 EET
Знаходзіцца на сайце, дзён:1408
Унікальных праглядаў:146
Каментароў:0

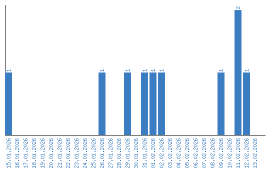
Дынаміка праглядаў па датах