BusphotoBUSPHOTO

Picture Statistics

220 KB


Picture ID:437242
File Size:220 KB
Author:olegp
Publication Date:10.04.2022 20:30 EET
Days in Database:1405
Unique views:400
Comments:1

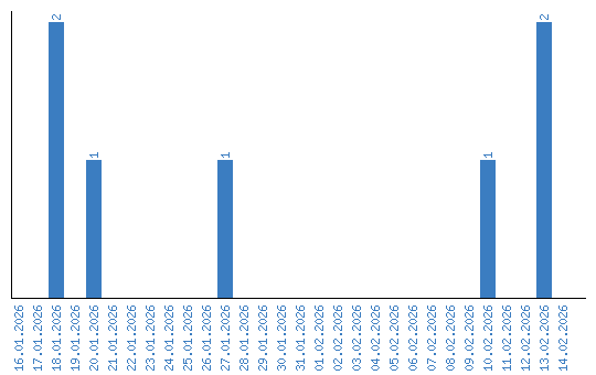
Viewing statistics by date