BusphotoBUSPHOTO

Picture Statistics

675 KB


Picture ID:437293
File Size:675 KB
Author:v_gaidamak
Publication Date:10.04.2022 22:18 EET
Days in Database:1392
Unique views:84
Comments:0

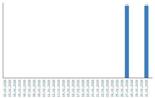
Viewing statistics by date