BusphotoBUSPHOTO

Picture Statistics

353 KB


Picture ID:438478
File Size:353 KB
Author:SavA
Publication Date:16.04.2022 15:50 EET
Days in Database:1385
Unique views:151
Comments:0

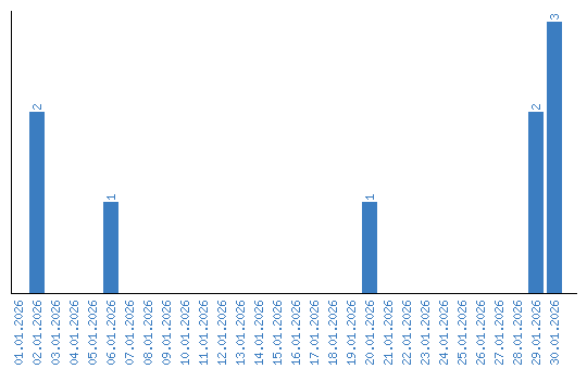
Viewing statistics by date