BusphotoBUSPHOTO

Picture Statistics

443 KB


Picture ID:44027
File Size:443 KB
Author:Кирилл Сергеевич
Publication Date:07.07.2012 11:46 EET
Days in Database:4944
Unique views:460
Comments:0

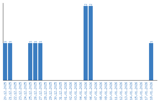
Viewing statistics by date