BusphotoBUSPHOTO.EU

Statystyki zdjęcia

514 kB


Identyfikator zdjęcia:441431
Rozmiar pliku:514 kB
Autor:Valius Kedainietis
Data publikacji:29.04.2022 09:03 EET
Liczba wyświetleń dzisiaj:1355
Łączna ilość wyświetleń:286
Komentarze:0

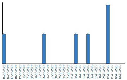
Liczba oglądających według dat