BusphotoBUSPHOTO

Nuotraukos informacija

667 Kb


Nuotraukos identifikatorius:443001
Bylos dydis:667 Kb
Autorius:Semёn Kuznetsov
Publikuota:05.05.2022 22:36 EET
Yra tinklapyje dienų:1348
Unikalių peržiūrų:369
Komentarų:0

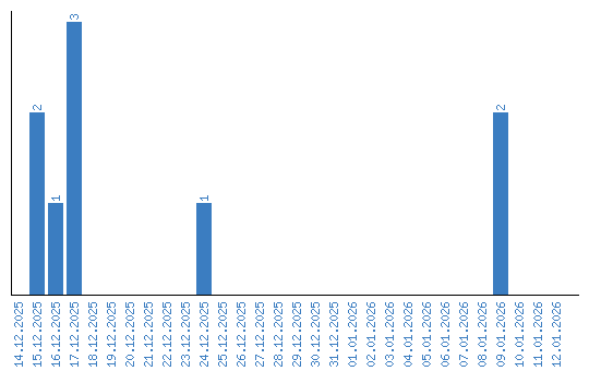
Peržiūrų dinamika pagal dienas