BusphotoBUSPHOTO

Picture Statistics

542 KB


Picture ID:447970
File Size:542 KB
Author:Metropolitan456
Publication Date:01.06.2022 21:25 EET
Days in Database:1368
Unique views:145
Comments:0

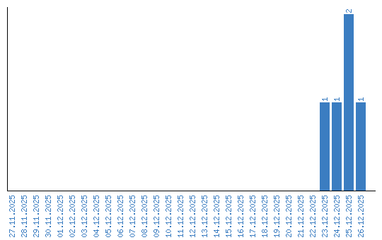
Viewing statistics by date