BusphotoBUSPHOTO

Picture Statistics

203 KB


Picture ID:448980
File Size:203 KB
Author:olegp
Publication Date:07.06.2022 19:43 EET
Days in Database:1348
Unique views:94
Comments:0

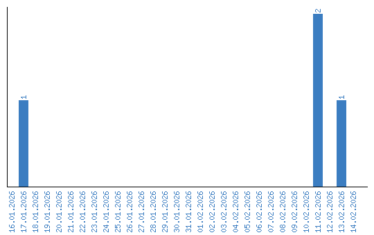
Viewing statistics by date