BusphotoBUSPHOTO

Picture Statistics

382 KB


Picture ID:45070
File Size:382 KB
Author:timoffey.dp
Publication Date:17.07.2012 00:02 EET
Days in Database:4945
Unique views:387
Comments:0

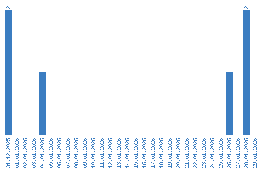
Viewing statistics by date