BusphotoBUSPHOTO

Picture Statistics

562 KB


Picture ID:452031
File Size:562 KB
Author:marqoos_pl
Publication Date:23.06.2022 00:03 EET
Days in Database:1282
Unique views:147
Comments:0

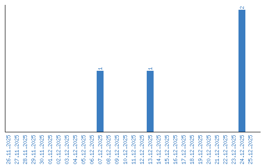
Viewing statistics by date