BusphotoBUSPHOTO

Picture Statistics

369 KB


Picture ID:455925
File Size:369 KB
Author:CamHao
Publication Date:14.07.2022 20:42 EET
Days in Database:1261
Unique views:255
Comments:0

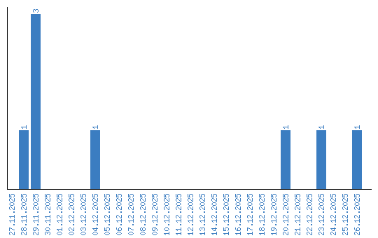
Viewing statistics by date