BusphotoBUSPHOTO

Picture Statistics

388 KB


Picture ID:456224
File Size:388 KB
Autorul:Lewar
Publication Date:16.07.2022 12:01 EET
Days in Database:1258
Unique views:301
Comments:0

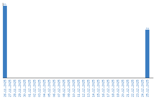
Viewing statistics by date