BusphotoBUSPHOTO

Picture Statistics

372 KB


Picture ID:456455
File Size:372 KB
Author:olegp
Publication Date:17.07.2022 17:28 EET
Days in Database:1307
Unique views:259
Comments:0

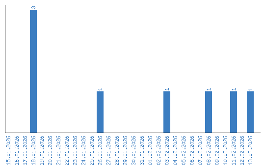
Viewing statistics by date