BusphotoBUSPHOTO

Picture Statistics

418 KB


Picture ID:456653
File Size:418 KB
Author:МАКСавто
Publication Date:18.07.2022 20:18 EET
Days in Database:1291
Unique views:268
Comments:0

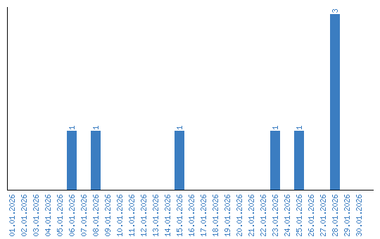
Viewing statistics by date