BusphotoBUSPHOTO

Picture Statistics

421 KB


Picture ID:458651
File Size:421 KB
Author:BusGalerieMK
Publication Date:30.07.2022 01:06 EET
Days in Database:1294
Unique views:297
Comments:0

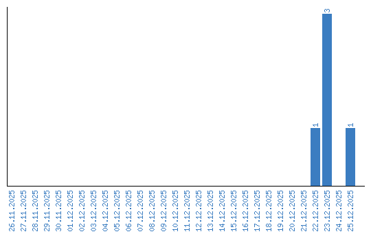
Viewing statistics by date